Đo lường tác động vòng 2 từ giá dầu thế giới tới lạm phát tại Việt Nam

Nghiên cứu - Trao đổi
Kiểm soát lạm phát luôn là mục tiêu quan trọng, định hướng cho việc điều hành chính sách tiền tệ (CSTT) của Ngân hàng Nhà nước Việt Nam (NHNN). Trong thời gian qua, bối cảnh kinh tế thế giới diễn biến phức tạp, các xung đột địa chính trị leo thang căng thẳng đã dẫn tới giá cả nhiều hàng hóa thế giới tăng cao, trong đó đặc biệt là giá dầu, đã có những tác động lan truyền, gây ra áp lực tới lạm phát trong nước và đặt ra những thách thức nhất định trong điều hành CSTT.
aa

Tóm tắt: Kiểm soát lạm phát luôn là mục tiêu quan trọng, định hướng cho việc điều hành chính sách tiền tệ (CSTT) của Ngân hàng Nhà nước Việt Nam (NHNN). Trong thời gian qua, bối cảnh kinh tế thế giới diễn biến phức tạp, các xung đột địa chính trị leo thang căng thẳng đã dẫn tới giá cả nhiều hàng hóa thế giới tăng cao, trong đó đặc biệt là giá dầu, đã có những tác động lan truyền, gây ra áp lực tới lạm phát trong nước và đặt ra những thách thức nhất định trong điều hành CSTT. Ngoài tác động trực tiếp, giá dầu thế giới biến động mạnh còn gây ra tác động vòng 2 tới lạm phát chung và lạm phát cơ bản tại Việt Nam, việc thiết lập các mô hình định lượng những tác động này là vô cùng cần thiết để có thể xây dựng những kịch bản điều hành CSTT phù hợp nhằm thực hiện mục tiêu kiểm soát lạm phát, ổn định kinh tế vĩ mô và hỗ trợ phục hồi kinh tế bền vững.

Từ khóa: Tác động vòng 2, CSTT, lạm phát, giá dầu.

MEASURING A SECOND ROUND EFFECT OF GLOBAL OIL PRICE ON INFLATION IN VIETNAM

Abstract: Controlling inflation has always been an important goal for the monetary policy implementation of the State Bank of Vietnam (SBV). Recently, in the context of complicated global economic development, escalating geopolitical conflicts have led to remarkably high prices of global commodities, especially oil price, causing pressure on domestic inflation and posing significant challenges in monetary policy management. In addition to the direct impact, the volatility of global oil price also causes a second round effect on headline inflation and core inflation in Vietnam and the establishment of quantitative models to measure these effects is necessary for policy makers to have appropriate monetary policy management scenarios aimed to achieve the goals of controlling inflation, stabilizing macroeconomics and supporting a sustainable economic recovery.

Keywords: Second round effect; monetary policy; inflation; oil price.

1. Diễn biến lạm phát thế giới và trong nước

Tính đến hết tháng 9/2022, lạm phát đã trở thành một hiện tượng toàn cầu với mức lạm phát ở nhiều quốc gia chạm ngưỡng cao nhất trong nhiều thập kỷ trở lại đây. Lạm phát chung tại Mỹ có lúc đạt 9,1%, tại Anh có lúc vượt 10% là mức kỷ lục trong khoảng 40 năm trở lại đây. Tại châu Âu, lạm phát tháng 9/2022 ở mức 10% đánh dấu lần đầu tiên kể từ khi thành lập mà lạm phát chạm ngưỡng 2 chữ số. Bên cạnh đó, rất nhiều quốc gia phát triển chứng kiến lạm phát tăng vọt như Úc, Canada, Pháp, Hàn Quốc… Ở một số quốc gia đang gặp khủng hoảng đặc thù như Argentina hay Thổ Nhĩ Kỳ, lạm phát còn trở nên trầm trọng hơn khi đạt mức hơn 80% so với cùng kỳ và chưa có dấu hiệu sẽ dừng lại.

Nguyên nhân của lạm phát trên toàn cầu xuất phát từ cả phía cung và phía cầu nhưng động lực chính vẫn là đến từ các cú sốc lạm phát chi phí đẩy. Cuộc xung đột quân sự Nga - Ukraine kéo theo hàng loạt lệnh trừng phạt từ phương Tây đối với Nga đã khiến giá năng lượng tăng chóng mặt. Nếu cách đây hơn 02 năm, vào ngày 20/4/2020, giá dầu thô ngọt nhẹ tại Mỹ (WTI) thậm chí có lúc giảm về mức - 37 USD/thùng khi nhu cầu sụt giảm mạnh thì đến ngày 23/3/2022, giá dầu đã có thời điểm vượt trên mức 120 USD/thùng khi xung đột quân sự giữa Nga - Ukraine chính thức nổ ra. Dù đã có xu hướng giảm nhiệt, nhưng tính chung bình quân 9 tháng năm 2022, giá dầu vẫn tăng 51% so với cùng kỳ, giá gas cũng tăng 53,53%. Không chỉ giá năng lượng, giá lương thực thực phẩm cũng tăng đột biến, tiềm ẩn một cuộc khủng hoảng lương thực trên thế giới khi Nga là quốc gia lớn xuất khẩu lương thực và phân bón. Theo Tổ chức Lương thực thế giới (FAO), giá lương thực thế giới bình quân đã tăng gần 20% so với cùng kỳ. Những cú sốc nguồn cung là nguyên nhân chính dẫn tới lạm phát nhưng cũng không thể không kể đến áp lực từ lạm phát cầu kéo khi các quốc gia mở cửa trở lại nền kinh tế và thị trường lao động, tiền lương được cải thiện.

Một trong những nguyên nhân nữa cũng được nhiều nhà kinh tế nhận định đó là sự chủ quan của các ngân hàng trung ương (NHTW) trong đánh giá áp lực lạm phát xuất phát từ các cú sốc giá năng lượng và hàng hóa. Theo các bài đăng chính thức trên trang chủ của Cục Dự trữ liên bang Mỹ (Fed), trong khoảng thời gian từ tháng 5/2021 tới tháng 02/2022, các quan chức của Fed liên tục trấn an dư luận rằng lạm phát của Mỹ là một vấn đề “tạm thời” gây ra bởi các vấn đề đứt gãy chuỗi cung ứng cục bộ và lạm phát sẽ giảm trở lại khi các vấn đề này được giải quyết. Theo thống kê, có 19 lượt phát biểu của các quan chức trong Ủy ban Thị trường Mở về vấn đề này. Nhưng chính sự “tự tin” này của Fed đã dẫn tới những quyết định trì hoãn thắt chặt CSTT kéo theo hệ quả là lạm phát của Mỹ tăng nhanh, và đáng quan tâm hơn là lạm phát cơ bản của Mỹ cũng tăng nhanh, duy trì ở mức cao. Fed đã phải trả giá cho sự chậm trễ trong điều hành CSTT phản ứng với lạm phát bằng việc tăng lãi suất nhanh và mạnh hơn, bán trái phiếu để hút tiền về và để nền kinh tế Mỹ đứng trước viễn cảnh “hạ cánh cứng” với một kịch bản suy thoái trong năm 2023 tới đây.


Cần theo dõi sát diễn biến và dự báo giá cả các mặt hàng quan trọng, xây dựng các kịch bản giá và lạm phát tương ứng để sẵn sàng có các phản ứng chính sách phù hợp

Tại Việt Nam, mặc dù áp lực lạm phát liên tục gia tăng trong những tháng gần đây, nhưng nhìn chung, về cơ bản, lạm phát hiện vẫn đang được kiểm soát khá tốt. Lạm phát toàn phần bình quân 10 tháng đầu năm 2022 là 2,89% - thấp hơn mức mục tiêu 4%, góp phần duy trì ổn định kinh tế vĩ mô. Lạm phát cơ bản bình quân là 2,14%, thấp hơn đáng kể so với lạm phát chung phản ánh biến động giá tiêu dùng chủ yếu do lạm phát nhập khẩu (đặc biệt là nhóm nhiên liệu). Trong các nguyên nhân đóng góp vào mức tăng 2,89% lạm phát trong nước 10 tháng đầu năm 2022, sự tăng giá xăng dầu có đóng góp lớn nhất (giá xăng dầu trong nước tăng 36,01% làm tăng CPI chung 1,3%), tiếp theo là nhóm nhà ở và vật liệu xây dựng (đóng góp 0,46%), nhóm ăn uống ngoài gia đình (đóng góp 0,4%) và giá gas (đóng góp 0,22%). Nhìn chung, lạm phát chi phí đẩy do tác động từ giá hàng hóa thế giới tăng cao, đặc biệt là giá dầu vẫn là động lực chính cho áp lực lạm phát trong nước thời gian qua.

2. Tác động vòng 2 từ cú sốc giá hàng hóa lên lạm phát

Lạm phát trong năm 2022 nhiều khả năng sẽ được kiểm soát tốt dưới mức mục tiêu 4% nhưng áp lực lạm phát, đặc biệt là lạm phát cơ bản đang có dấu hiệu tăng dần. Lạm phát bình quân vẫn trong tầm kiểm soát nhưng so với cùng kỳ đã đạt mức 3,94%, rất sát so với mục tiêu 4% và có thể sẽ vượt vào những tháng cuối năm 2022, gây ra áp lực rất lớn đối với mục tiêu kiểm soát lạm phát năm 2023. Đáng chú ý hơn, lạm phát cơ bản tháng 9/2022 so với cùng kỳ cũng đạt mức 3,82%. Đối với những nhà điều hành CSTT, mức tăng nhanh của lạm phát cơ bản là tín hiệu đáng quan tâm vì nó thể hiện sự biến động “dai dẳng” của sự tăng giá hàng hóa, dịch vụ tiêu dùng trong dài hạn. Thông thường, CSTT sẽ không phản ứng với các biến động “tạm thời” của lạm phát gây ra bởi các mặt hàng nhạy cảm với giá (như nhiên liệu hay lương thực, thực phẩm) vì 3 lý do: Thứ nhất, sự biến động của các mặt hàng này mang tính tạm thời và thường sẽ quay trở lại xu hướng chung; Thứ hai, nguyên nhân gây ra những sự biến động này nằm ngoài khả năng tác động của CSTT (ví dụ như thiên tai, chiến tranh…) khiến cho việc sử dụng CSTT để phản ứng lại với các cú sốc ngoại sinh này rất phức tạp, đôi khi có thể gây ra những hiệu ứng không mong muốn; Thứ ba, việc phản ứng với các cú sốc kiểu này sẽ dẫn tới việc đảo chiều liên tục trong điều hành CSTT, làm suy giảm khả năng định hướng thị trường và uy tín của NHTW. Tuy nhiên, lạm phát cơ bản là chỉ tiêu phản ánh sự thay đổi mức giá chung mang tính chất dài hạn, sau khi đã loại trừ những thay đổi mang tính chất ngẫu nhiên, tạm thời của lạm phát chung và thường được gọi là lạm phát do yếu tố tiền tệ. Áp lực tăng nhanh, liên tục của lạm phát cơ bản trong thời gian qua đã cho thấy mặt bằng giá trong nền kinh tế thực sự đã hình thành xu hướng tăng trong dài hạn và cần phải có phản ứng CSTT phù hợp để hạn chế và kiểm soát xu hướng này.

Sự tăng nhanh của lạm phát cơ bản tại Việt Nam trong thời gian qua đến từ hai nguyên nhân chính: Sự phục hồi kinh tế trong nước và tác động vòng 2 từ giá hàng hóa thế giới. Lý do thứ nhất là rất rõ ràng khi kinh tế trong nước bắt đầu bước vào tiến trình phục hồi từ năm 2022 nhờ việc kiểm soát thành công dịch bệnh Covid-19 và mở cửa trở lại của nền kinh tế. Các hoạt động sản xuất, kinh doanh được khôi phục, thị trường lao động được cải thiện đã giúp tình hình tài chính của doanh nghiệp và các hộ gia đình trở nên tốt hơn. Kết quả tất yếu là nhu cầu tiêu dùng đối với các hàng hóa, dịch vụ trong nước cũng sẽ được cải thiện và làm gia tăng áp lực lên lạm phát chung và lạm phát cơ bản. Tuy nhiên, nếu chỉ có sức ép từ phía cầu thì áp lực sẽ không thể dai dẳng, thậm chí gia tăng liên tục trong một thời gian dài vì nền kinh tế mới chỉ ở giai đoạn đầu của quá trình hồi phục, tổng cầu trong nước tuy có tăng nhưng chưa cao (tăng trưởng kinh tế quý II/2022 và quý III/2022 ấn tượng có đóng góp của yếu tố nền thấp trong năm 2021). Theo tính toán của một số tổ chức quốc tế như IMF hay AMRO cũng như tính toán dựa trên số liệu thực tế của nhóm tác giả thì thậm chí chênh lệch sản lượng của Việt Nam vẫn đang ở mức âm, hay nói cách khác là nền kinh tế vẫn đang hoạt động dưới mức tiềm năng và chưa gây ra áp lực lạm phát. Điều này dẫn tới sự cần thiết của việc đánh giá về mức độ ảnh hưởng của giá hàng hóa thế giới tăng cao thông qua tác động vòng 2 tới lạm phát cơ bản và lạm phát chung tại Việt Nam.

Trước hết, cần làm rõ hơn về khái niệm “tác động vòng 2” của giá hàng hóa thế giới tác động tới lạm phát. Khi giá một hàng hóa thế giới tăng lên, chi phí nhập khẩu (chưa tính đến tác động của tỷ giá) cũng sẽ tăng, kết quả là chi phí tiêu dùng và lạm phát cũng sẽ tăng lên dù mức độ ít hay nhiều còn phụ thuộc vào quyền số của mặt hàng đó trong rổ hàng hóa tiêu dùng được sử dụng để tính toán lạm phát. Đây là tác động trực tiếp hay có thể được coi là tác động vòng 1 của giá hàng hóa thế giới thay đổi tới lạm phát trong nước. Trong kinh tế học vĩ mô, tác động vòng 2 có thể được thể hiện thông qua vòng xoáy giá cả - tiền lương (wage-price spiral) khi áp lực lạm phát tăng sẽ dẫn đến áp lực tăng lương và khi tiền lương thực sự tăng lên cũng sẽ khiến tổng cầu tăng lên và quay trở lại tác động làm tăng giá. Đã có rất nhiều nghiên cứu khẳng định về tác động vòng 2 dưới dạng vòng xoáy giá cả - tiền lương này ở các quốc gia phát triển và gần đây nhất là trong cuộc khủng hoảng năng lượng tại châu Âu như Borio và cộng sự (BIS, 2021), Baba và Lee (IMF, 2022) và Battisni và cộng sự (ECB, 2022). Ngoài ra, tác động vòng 2 tới lạm phát còn có thể thông qua kênh sản xuất, đặc biệt khi sự tăng giá xảy ra đối với các mặt hàng nguyên, nhiên, vật liệu đầu vào cho quá trình sản xuất. Khi giá các mặt hàng này tăng lên, chi phí sản xuất tăng sẽ dẫn đến giá thành sản phẩm tăng và cuối cùng, làm tăng chi phí tiêu dùng. Tác động này là rất khác biệt tùy vào tầm quan trọng trong chi phí sản xuất và khả năng thay thế của từng mặt hàng. Nếu mặt hàng này có mặt hàng thay thế hoàn hảo hoặc gần như hoàn hảo thì tác động vòng 2 thông qua kênh này sẽ không lớn và ngược lại. Bên cạnh đó, sự cứng nhắc của giá cả hay nói cách khác là khả năng thay đổi giá nhanh chóng của người sản xuất trong nền kinh tế cũng rất khác nhau giữa các mặt hàng khiến tác động vòng 2 dạng này cũng rất khác nhau giữa từng mặt hàng và giữa các quốc gia.

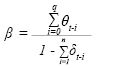
Những đánh giá ban đầu về tác động vòng 2 từ giá hàng hóa thế giới tới lạm phát tại Việt Nam là hoàn toàn có cơ sở về mặt lý thuyết kinh tế. Để kiểm chứng những đánh giá trên, một mô hình kinh tế lượng áp dụng lý thuyết về sự hoàn nguyên giữa lạm phát tổng thể và lạm phát cơ bản sẽ được sử dụng. Cecchetti và Moesssner (2008) đã sử dụng phương pháp này để xác định xem liệu có đủ cơ sở về mặt thống kê để cho thấy có tồn tại tác động vòng 2 tới lạm phát hay không. Theo đó, nếu lạm phát tổng thể trở về với xu hướng của lạm phát cơ bản có nghĩa là sự tăng lên trong các nhóm hàng hóa biến động mạnh không nằm trong lạm phát cơ bản chỉ có tác động tạm thời, không gây ra áp lực lạm phát dai dẳng và NHTW sẽ không cần thiết phải phản ứng với các cú sốc kiểu này. Mô hình được sử dụng sẽ có dạng:

Trong đó πheadline là lạm phát tổng thể so với cùng kỳ tại thời điểm t, πtcore là lạm phát cơ bản so với cùng kỳ tại thời điểm t. Theo đó, nếu lạm phát tổng thể thực sự trở lại xu hướng của lạm phát cơ bản thì hệ số β được dự kiến sẽ mang dấu âm. Thực hiện hồi quy mô hình (1) cho Việt Nam trong giai đoạn từ tháng 01/2000 tới tháng 9/2022 cho kết quả hệ số β là -1,61 và có ý nghĩa thống kê cao (Phụ lục 1).

Kết quả này tương đồng với nhiều quốc gia khác như Cecchetti và Moesssner (2008) đã tìm thấy ở 19 nước châu Âu hay Gelos (2011) thực hiện cho 91 quốc gia trên thế giới. Trong dài hạn, tác động từ các cú sốc giá hàng hóa sẽ bị triệt tiêu và lạm phát sẽ trở lại xu hướng dài hạn là kết quả phù hợp với cả thực tiễn và lý thuyết kinh tế. Nếu thực hiện hồi quy phương trình (1) cho 2 giai đoạn từ tháng 01/2000 đến tháng 12/2011 và từ tháng 01/2012 đến tháng 9/2022 sẽ được kết quả của β lần lượt là -1,47 và -1,89 cho thấy tốc độ hoàn nguyên của lạm phát tổng thể về xu hướng dài hạn nhanh hơn trong giai đoạn kể từ năm 2012 trở đi. Điều này có thể được giải thích nhờ công tác điều hành CSTT linh hoạt và hiện đại hơn đã góp phần kiểm soát lạm phát, ổn định kinh tế vĩ mô và neo giữ kỳ vọng lạm phát ở mức phù hợp, hạn chế biến động quá mức của lạm phát trước tác động của các cú sốc.

Tuy nhiên, sự hoàn nguyên của lạm phát tổng thể về xu hướng dài hạn chỉ là một phần của vấn đề. Phần còn lại là sự cần thiết trong đánh giá sự hoàn nguyên của lạm phát cơ bản về xu hướng lạm phát. Trong trường hợp lạm phát cơ bản không trở về xu hướng của lạm phát thì nó sẽ chỉ ra rằng các cú sốc đối với lạm phát, chẳng hạn như những nguyên nhân do giá hàng hóa tăng đột biến, sẽ dẫn đến lạm phát kỳ vọng và sự điều chỉnh giá cả - tiền lương, gây áp lực lên lạm phát cơ bản và là tín hiệu cảnh báo đáng lưu tâm cho các nhà hoạch định chính sách. Để kiểm định vấn đề này tại Việt Nam, một mô hình tương tự cho lạm phát cơ bản cũng được thiết lập như sau:

Trong mô hình này, các nhà hoạch định CSTT sẽ quan tâm tới kết quả của hệ số δ. Nếu δ = 0 có nghĩa là lạm phát cơ bản không có xu hướng hoàn nguyên về lạm phát tổng thể hay nói cách khác tồn tại tác động vòng 2 từ các cú sốc lạm phát tới lạm phát cơ bản. Thực hiện hồi quy mô hình (2) cho Việt Nam trong giai đoạn tương tự từ tháng 01/2000 tới tháng 9/2022 thu được kết quả của δ là 0,43 và có ý nghĩa thống kê. Điều này đã bác bỏ kết luận rằng trong cả giai đoạn nghiên cứu thì lạm phát cơ bản không có xu hướng hoàn nguyên. Tuy nhiên, nếu thực hiện hồi quy trong 3 giai đoạn nhỏ hơn là từ tháng 01/2001 đến tháng 7/2008, từ tháng 02/2009 đến tháng 7/2014 và từ tháng 4/2020 đến tháng 9/2022 tương ứng với 3 xu hướng tăng của giá dầu thế giới trong trung và dài hạn thì có 2 giai đoạn cho kết quả δ = 0 (01/2001 - 7/2008 và 4/2020 - 9/2022) cho thấy những dấu hiệu nhất định của tác động vòng 2 từ giá dầu thế giới tới lạm phát cơ bản trong nước. Kết quả của các mô hình được trình bày tại Phụ lục 1.

3. Đo lường tác động vòng 2 từ giá dầu tới lạm phát tại Việt Nam

Đánh giá và dự báo lạm phát là nguồn thông tin đầu vào cực kỳ quan trọng đối với công tác điều hành CSTT của các NHTW. Việc đánh giá diễn biến lạm phát quá khứ bao gồm phân tích, tìm ra các nguyên nhân của lạm phát là rất cần thiết nhưng việc dự báo xu hướng lạm phát trong trung hạn và tác động của nó tới nền kinh tế mới lại là căn cứ để các nhà hoạch định chính sách thay đổi vị thế CSTT. Trong năm 2022, lạm phát Việt Nam có thể vẫn được kiểm soát tốt ở dưới mức mục tiêu 4% nhưng áp lực ngày một tăng nhanh trong những tháng cuối năm, báo hiệu những khó khăn rất lớn trong việc thực hiện mục tiêu kiểm soát lạm phát năm 2023. Nhóm giao thông là nhóm có mức đóng góp lớn nhất vào biến động lạm phát 9 tháng đầu năm 2022 gây ra bởi giá dầu thế giới tăng cao kéo theo giá xăng dầu trong nước tăng. Tác động trực tiếp từ giá dầu thế giới tới lạm phát trong nước đã rất rõ ràng, tuy nhiên, qua biến động lạm phát cơ bản và những kiểm nghiệm được trình bày ở trên, chúng ta cũng thấy được dấu hiệu tác động vòng 2 từ giá dầu thế giới tới lạm phát trong nước. Xăng dầu là mặt hàng vô cùng đặc biệt vì 2 thuộc tính: (i) Là yếu tố đầu vào của hầu hết mọi hoạt động kinh tế; và (ii) Không có hàng hóa thay thế. Do đó, tác động vòng 2 của giá dầu thế giới tới lạm phát trong nước cần phải được lượng hóa cụ thể. Đây sẽ là bằng chứng khoa học quan trọng để khi kết hợp với các kịch bản dự báo giá dầu trong tương lai sẽ cho ra kết quả về những kịch bản lạm phát khác nhau và từ đó, có những phản ứng chính sách phù hợp.

Mục đích nghiên cứu trên đã được thực hiện tại rất nhiều NHTW trên thế giới và ở nhiều giai đoạn biến động khác nhau của giá dầu thế giới. Một số nghiên cứu trước thế kỷ 21 đáng chú ý như của Hafer (1983), Garner (1985), Defina (1988), Webb (1989) hay Furlong (1989). Sau khi các NHTW trên thế giới có những bước tiến trong việc cải thiện cơ chế điều hành CSTT và kiểm soát lạm phát, một số nghiên cứu đã cho thấy tác động vòng 2 từ giá dầu tới lạm phát và lạm phát cơ bản không quá nghiêm trọng. Choi và cộng sự (2017) nghiên cứu dữ liệu từ 72 quốc gia và đã tìm ra, nếu giá dầu tăng 10% thì lạm phát trong nước tăng trung bình 0,4% và triệt tiêu sau 2 năm. Conflitti và Luciani (2017) nghiên cứu cho Mỹ và châu Âu đã thấy rằng giá dầu thực tăng 10% chỉ làm tăng lạm phát cơ bản ít hơn 0,1% dù hiệu ứng này duy trì tới 4 năm sau cú sốc. Tác động vòng 2 từ giá dầu tới lạm phát tại các quốc gia đang phát triển dường như lớn hơn. Mija và cộng sự (2013) tại NHTW Moldova đã phát hiện thấy, giá dầu giảm 0,7% sẽ giúp làm giảm 0,33% lạm phát cơ bản. Gelos (2012) cũng tìm ra bằng chứng về các đặc điểm kinh tế của các quốc gia đang phát triển như môi trường lạm phát cao, tỷ trọng lương thực cao trong rổ hàng hóa, sự độc lập thấp của NHTW… cũng giúp khuếch đại và làm dai dẳng hơn tác động từ giá hàng hóa quốc tế tới lạm phát trong nước. Xét về cách tiếp cận, hai phương pháp hiện đại và phổ biến nhất gồm việc sử dụng mô hình Vector Autoregression (Hledik (2003), Blanchard và Gali (2007)) hoặc sử dụng mô hình hồi quy đơn phương trình, thường là phương trình về quy tắc Taylor mở rộng (Gelos (2012), Forbes và Gagnon (2021), BIS(2022)).

Áp dụng cho trường hợp Việt Nam, một mô hình quy tắc Taylor mở rộng được xây dựng như sau:

Tác động của giá dầu tới lạm phát được đo lường bằng

Trong đó: πt là lạm phát tổng thể so với cùng kỳ và được giải thích bằng diễn biến lạm phát trong quá khứ πt-i , sự vận động của chu kỳ kinh tế yt-i, sự biến động của tỷ giá REER_devt-i và tác động từ giá dầu thế giới Oil_devt-i .

Sự vận động của chu kỳ kinh tế là một cấu phần không thể thiếu trong quy tắc Taylor và thể hiện áp lực từ phía bên cầu lên lạm phát. Trong quy tắc Taylor tiêu chuẩn, biến số này được biểu hiện bằng chênh lệch sản lượng (sản lượng thực tế so với sản lượng tiềm năng), chênh lệch sản lượng dương sẽ gây ra áp lực lạm phát và ngược lại. Tuy nhiên, dữ liệu lạm phát được thu thập theo tần suất tháng trong khi dữ liệu về sản lượng chỉ được thu thập theo quý nên biến số tổng mức hàng hóa bán lẻ, dịch vụ được sử dụng như một đại diện của sản lượng. Thực tế, xét theo phía cầu, tiêu dùng luôn chiếm một tỷ trọng lớn trong tổng sản lượng (trên 60%) và tổng mức hàng hóa bán lẻ cũng được sử dụng như đại diện của sản lượng trong nhiều mô hình mà dữ liệu theo tần suất tháng tại Việt Nam. Ngoài áp lực từ phía cầu, để phản ánh tốt hơn biến động của lạm phát với đặc điểm Việt Nam là một nền kinh tế có độ mở lớn, mô hình có sử dụng biến động của tỷ giá thực hiệu dụng (Real effective exchange rate - REER) để đo lường tác động của lạm phát nhập khẩu tới lạm phát tổng thể. Theo đó, mô hình đã cố gắng mô tả áp lực tỷ giá thông qua cả 3 kênh: Lạm phát cầu kéo, lạm phát chi phí đẩy và lạm phát nhập khẩu, phù hợp với đặc điểm của một nền kinh tế nhỏ, có độ mở kinh tế cao. Cuối cùng, biến động giá dầu thế giới được sử dụng để ước lượng tác động của giá dầu tới lạm phát. Mô hình đánh giá tác động từ biến động giá dầu tới lạm phát cơ bản cũng được thiết lập tương tự khi thay lạm phát tổng thể bằng lạm phát cơ bản.

Dữ liệu được sử dụng trong mô hình được tổng hợp trong giai đoạn từ tháng 01/2013 đến tháng 9/2022 để đảm bảo tính cập nhật những diễn biến mới nhất. Một vài nghiên cứu đã cho thấy, trong môi trường lạm phát cao, các ước lượng thường có ý nghĩa giải thích kém hơn do tác động của yếu tố kỳ vọng. Do đó, mô hình lựa chọn giai đoạn kể từ năm 2013 là năm mà lạm phát bắt đầu được kiểm soát tốt. Dữ liệu kinh tế vĩ mô gồm lạm phát và tổng mức hàng hóa bán lẻ được tổng hợp từ Tổng cục Thống kê, dữ liệu về tỷ giá thực hiệu dụng được tính toán bởi nhóm tác giả trên cơ sở 20 đối tác thương mại lớn nhất của Việt Nam, dữ liệu về giá dầu được tổng hợp từ nguồn dữ liệu của EIA - Cơ quan Quản lý Thông tin năng lượng của Mỹ. Mô hình sử dụng phương pháp bình phương nhỏ nhất (OLS) có hiệu chỉnh theo phương pháp HAC Newey-West trong ước lượng ma trận phương sai. Các biến trễ trong mô hình được lựa chọn theo tiêu chí AIC.

Kết quả từ các mô hình cho thấy, tác động từ giá dầu tới lạm phát tổng thể và lạm phát cơ bản lần lượt đạt 0,012 và 0,016 và kéo dài 01 tháng. Nói cách khác, giá dầu thế giới tăng 10% sẽ làm tăng lạm phát tổng thể 0,12% và làm tăng lạm phát cơ bản 0,16%. Hầu hết các hệ số đều có ý nghĩa thống kê và dấu phù hợp với lý thuyết kinh tế. Các mô hình đã được kiểm nghiệm và không phát hiện sự vi phạm các giả thuyết quan trọng (Phụ lục 2). Có thể thấy, các kết quả là bằng chứng của tác động vòng 2 của giá dầu thế giới tới lạm phát tổng thể và lạm phát cơ bản trong nước. Kết quả này cho thấy, tác động vòng 2 từ giá dầu tới lạm phát tổng thể và lạm phát cơ bản tại Việt Nam tương đối lớn nếu so với các quốc gia phát triển. Lý do là vì Việt Nam là một quốc gia đang phát triển, tỷ trọng các mặt hàng cơ bản trong rổ hàng hóa tiêu dùng như năng lượng, lương thực, thực phẩm vẫn còn lớn nên tác động từ giá xăng dầu trong nước tới hành vi thiết lập giá và tiêu dùng của nền kinh tế sẽ lớn hơn so với các quốc gia phát triển. Tuy nhiên, dù lớn hơn các quốc gia phát triển nhưng đây là một kết quả tương đối phù hợp và là thành quả của sự kết hợp các chính sách kinh tế vĩ mô: CSTT, chính sách tài khóa và các chính sách về hỗ trợ giá xăng dầu cũng như việc sử dụng hiệu quả Quỹ bình ổn giá xăng dầu để hạn chế sự biến động của giá dầu thế giới tới giá xăng dầu trong nước.

Tuy nhiên, vẫn tồn tại một số vấn đề còn có thể gây tranh cãi về những kết quả trên. Thứ nhất, độ dai dẳng của tác động vòng 2 này thấp, chỉ tồn tại 01 tháng sau biến động giá dầu và có những mâu thuẫn nhất định với quan sát thực tế tại Việt Nam. Thứ hai, mô hình hoàn toàn sử dụng các biến số hiện tại và trong quá khứ mà chưa bao gồm cấu phần lạm phát kỳ vọng, vốn tiềm ẩn nhiều rủi ro tới việc kiểm soát lạm phát trong nước. Thứ ba, tác động vòng 2 thông qua vòng xoáy tiền lương - giá cả chưa thực sự được phản ánh trong mô hình này. Nhìn chung, những vấn đề này hoàn toàn có thể được xử lý trong tương lai khi mở rộng mô hình một cách phù hợp theo hướng bổ sung cấu phần về tiền lương và lạm phát kỳ vọng với nguồn dữ liệu chính thức.

4. Hàm ý chính sách

Thông qua 2 mô hình được trình bày ở trên, chúng ta có cơ sở để kết luận về sự tồn tại của tác động vòng 2 của giá dầu tới lạm phát trong nước. Trong bối cảnh các căng thẳng địa chính trị trên thế giới, đặc biệt là xung đột quân sự Nga - Ukraine, tình trạng đứt gãy chuỗi cung ứng toàn cầu vẫn được dự báo tiếp diễn trong thời gian tới, giá dầu và giá nhiều hàng hóa thế giới sẽ tiếp tục tiềm ẩn nhiều rủi ro biến động mạnh, từ đó gây sức ép lên mục tiêu kiểm soát lạm phát trong nước vốn trở nên rất khó khăn trong năm 2023. Để thực hiện thành công mục tiêu kiểm soát lạm phát trong những tháng cuối năm 2022 và năm 2023, nhóm tác giả nêu một số khuyến nghị sau:

Một là, NHNN tiếp tục điều hành CSTT chủ động, linh hoạt, đồng bộ các công cụ CSTT, phối hợp chặt chẽ với chính sách tài khóa và các chính sách vĩ mô khác, thích ứng linh hoạt với diễn biến kinh tế vĩ mô và thị trường trong nước, quốc tế nhằm kiên định mục tiêu kiểm soát lạm phát, ổn định kinh tế vĩ mô và hỗ trợ phục hồi tăng trưởng kinh tế ở mức hợp lý. Trong đó, tiếp tục điều hành lãi suất phù hợp với cân đối vĩ mô, lạm phát và mục tiêu CSTT; các TCTD tiếp tục tiết giảm chi phí hoạt động để ổn định lãi suất cho vay, khi điều kiện thuận lợi thì giảm lãi suất cho vay theo Nghị quyết số 43/2022/QH15 ngày 11/01/2022 của Quốc hội về chính sách tài khóa, tiền tệ hỗ trợ Chương trình phục hồi và phát triển kinh tế - xã hội; điều hành tỷ giá linh hoạt, kết hợp đồng bộ với các công cụ CSTT khác, đảm bảo phù hợp với điều kiện thị trường, sẵn sàng can thiệp thị trường khi cần thiết để bình ổn thị trường ngoại tệ, góp phần kiểm soát lạm phát và ổn định kinh tế vĩ mô; điều hành tín dụng hỗ trợ phục hồi tăng trưởng nhưng không chủ quan với rủi ro lạm phát, tạo điều kiện thuận lợi cho người dân, doanh nghiệp tiếp cận tín dụng ngân hàng. NHNN chỉ đạo TCTD tăng trưởng tín dụng an toàn, hiệu quả, hướng tín dụng vào các lĩnh vực sản xuất, kinh doanh, lĩnh vực ưu tiên; kiểm soát chặt chẽ tín dụng vào các lĩnh vực tiềm ẩn rủi ro; chỉ đạo các TCTD tiếp tục tạo điều kiện thuận lợi cho người dân, doanh nghiệp trong việc tiếp cận tín dụng, đáp ứng nhu cầu hợp pháp của người dân; đẩy mạnh kết nối ngân hàng - doanh nghiệp, tạo điều kiện cho nền kinh tế nhanh chóng phục hồi và phát triển.

Hai là, cần theo dõi sát diễn biến và dự báo giá cả các mặt hàng quan trọng, đặc biệt là giá dầu, xây dựng các kịch bản giá và lạm phát tương ứng để sẵn sàng có các phản ứng chính sách phù hợp, tránh bị động trong điều hành CSTT.

Ba là, NHNN chỉ đạo các TCTD đảm bảo nguồn vốn tín dụng phục vụ cho các doanh nghiệp kinh doanh trong lĩnh vực xăng dầu, sẵn sàng nguồn ngoại tệ đáp ứng các nhu cầu về nhập khẩu xăng dầu, hỗ trợ đảm bảo nguồn cung xăng dầu trong nước, giảm thiểu sự lan truyền từ biến động giá dầu thế giới tới giá xăng dầu trong nước và tác động vòng 2 tới lạm phát.

Bốn là, tiếp tục đổi mới hoạt động truyền thông chuyên nghiệp, hiệu quả nhằm nâng cao tính minh bạch thông tin, đáp ứng yêu cầu đối với hoạt động cung cấp thông tin của NHNN và thực hiện các cam kết quốc tế; bám sát chỉ đạo của Chính phủ và NHNN để chủ động kịp thời thông tin, truyền thông về các giải pháp điều hành của NHNN. Tăng cường hợp tác trong hoạt động truyền thông, đẩy mạnh xây dựng triển khai các chương trình phổ biến kiến thức tài chính - ngân hàng góp phần nâng cao nhận thức, hiểu biết của công chúng.

Mục tiêu kiểm soát lạm phát trong năm 2022 dưới mức mục tiêu là khả thi nhưng thách thức trong năm 2023 là rất lớn dưới sức ép từ cả lạm phát cầu kéo, lạm phát chi phí đẩy và lạm phát nhập khẩu. Việc đánh giá và lượng hóa, dự báo tác động vòng 2 từ giá dầu tới lạm phát trong nước có thể được sử dụng bên cạnh các công cụ dự báo khác để xây dựng một kịch bản điều hành chi tiết, phù hợp với các biến động của thị trường trong nước và quốc tế, hướng tới mục tiêu chung kiểm soát lạm phát và ổn định kinh tế vĩ mô, tạo nền tảng vững chắc cho tăng trưởng hiệu quả và bền vững.

PHỤ LỤC 1: KẾT QUẢ KIỂM ĐỊNH DẤU HIỆU TÁC ĐỘNG VÒNG 2 CỦA LẠM PHÁT

1. Mô hình sự hoàn nguyên của lạm phát tổng thể

a/ Toàn bộ giai đoạn nghiên cứu

Dependent Variable: D_HEADLINE

Method: Least Squares

Sample (adjusted): 2000M01 2022M09

Included observations: 273 after adjustments

b/ Giai đoạn từ năm 2000 đến năm 2011

Dependent Variable: D_HEADLINE

Method: Least Squares

Sample (adjusted): 2000M01 2011M12

Included observations: 144 after adjustments

c/ Giai đoạn từ năm 2012 đến nay

Dependent Variable: D_HEADLINE

Method: Least Squares

Sample: 2012M01 2022M09

Included observations: 129

2. Mô hình sự hoàn nguyên của lạm phát cơ bản

a/ Toàn bộ giai đoạn nghiên cứu

Dependent Variable: D_CORE

Method: Least Squares

Sample (adjusted): 2000M01 2022M09

Included observations: 273 after adjustments

b/ Giai đoạn từ tháng 01/2001 đến tháng 7/2008

Dependent Variable: D_CORE

Method: Least Squares

Sample: 2001M01 2008M07

Included observations: 91

c/ Giai đoạn từ tháng 02/2009 đến tháng 7/2014

Dependent Variable: D_CORE

Method: Least Squares

Sample: 2009M02 2014M07

Included observations: 66

d/ Giai đoạn từ tháng 4/2002 đến nay

Dependent Variable: D_CORE

Method: Least Squares

Sample: 2020M04 2022M09

Included observations: 30


PHỤ LỤC 2: KẾT QUẢ MÔ HÌNH ĐÁNH GIÁ TÁC ĐỘNG VÒNG 2 CỦA GIÁ DẦU TỚI LẠM PHÁT VÀ LẠM PHÁT CƠ BẢN

1. Mô hình đánh giá tác động vòng 2 của giá dầu tới lạm phát tổng thể

a. Kết quả

Dependent Variable: INF_YOY

Method: Least Squares

Sample: 2013M01 2022M09

Included observations: 117

b. Kiểm định

2. Mô hình đánh giá tác động vòng 2 của giá dầu tới lạm phát cơ bản


a. Kết quả

Dependent Variable: CORE_YOY

Method: Least Squares

Sample: 2013M01 2022M09

Included observations: 117


b. Kiểm định

Tài liệu tham khảo:

1. Baba and Lee (2022), “Second-Round Effects of Oil Price Shocks Implications for Europe’s Inflation Outlook”, IMF Working Paper, 9/2022.

2. Battisni N. et al (2022), “Wage share dynamics and second-round effects on inflation after energy price surges in the 1970s and today”, ECB Economic Bulletin, 5/2022.

3. Blanchard Olivier and Jordi Gali, 2007, The Macroeconomic Effects of Oil Shocks: Why Are The 2000s So Different From the 1970s? NBER WP 13368.

4. Borio C. et al (2021), “Second-round effects feature less prominently in inflation dynamics”, BIS Quarterly Review, 9/2021.

5. Cerisola, Martin and Gaston Gelos, 2009, “What Drives Inflation Expectations in Brazil? - An Empirical Analysis,” Applied Economics, May 2009.

6. Chen, Shiu-Sheng, 2009, “Oil Price Pass-Through into Inflation,” Energy Economics, Vol. 31, pp. 126-33.

7. Choi, Sangyup, Davide Furceri, Prakash Loungani, Saurabh Mishra, Marcos Poplawski-Ribeiro, 2017, Oil Prices and Inflation Dynamics: Evidence from Advanced and Developing Economies, IMF WP/17/196.

8. Clark, T (2001): “Comparing measures of core inflation”, Federal Reserve Bank of Kansas City Economic Review, Vol. 86, No 2, pp 5-31.

9. Conflitti, Cristina and Matteo Luciani, 2017, Oil price pass-through into core inflation, Finance and Economics Discussion Series 2017-085. Washington: Board of Governors of the Federal Reserve System.

10. Gaston Gelos, Yulia Ustyugova, Inflation responses to commodity price shocks - How and why do countries differentiate? Journal of International Money and Finance, Volume 72, 2017, Pages 28-47.

11. Hledik, Tibor. (2003). Modelling the Second-Round Effects of Supply-Side Shocks on Inflation. Czech National Bank, Research Department, Working Papers.

12. Mija, Simion & Slobozian, Dorin & Cuhal, Radu & Stratan, Alexandru. (2013). How core inflation reacts to the second round effects. Romanian Journal of Economic Forecasting. 16. 98-118.


Đào Minh Thắng, Nguyễn Thùy Linh
Vụ Chính sách tiền tệ, Ngân hàng Nhà nước Việt Nam


https://tapchinganhang.gov.vn

Tin bài khác

Hoàn thiện khung pháp lý về điều kiện, tiêu chuẩn nhân sự của ngân hàng tại Việt Nam

Hoàn thiện khung pháp lý về điều kiện, tiêu chuẩn nhân sự của ngân hàng tại Việt Nam

Trong bài viết này, các quy định về tiêu chuẩn, điều kiện đối với nhân sự của ngân hàng được phân tích theo Thông tư số 20/2025/TT-NHNN ngày 31/7/2025 của Thống đốc Ngân hàng Nhà nước Việt Nam (NHNN) hướng dẫn về hồ sơ, thủ tục chấp thuận danh sách dự kiến nhân sự của ngân hàng thương mại (NHTM), chi nhánh ngân hàng nước ngoài và tổ chức tín dụng (TCTD) phi ngân hàng, qua đó nhóm tác giả gợi mở định hướng hoàn thiện khung pháp lý theo chuẩn mực quốc tế và nâng cao chất lượng quản trị tại Việt Nam.
Nghiên cứu ảnh hưởng của an ninh năng lượng, biến động giá xăng dầu tới lạm phát ở Việt Nam

Nghiên cứu ảnh hưởng của an ninh năng lượng, biến động giá xăng dầu tới lạm phát ở Việt Nam

Bài viết phân tích tác động của an ninh năng lượng và biến động giá xăng dầu tới lạm phát tại Việt Nam, làm rõ cơ chế truyền dẫn chi phí năng lượng vào mặt bằng giá trong nước và nhấn mạnh vai trò của chuyển dịch cơ cấu năng lượng trong ổn định kinh tế vĩ mô dài hạn.
Văn bản công chứng điện tử trong hoạt động cấp tín dụng có tài sản bảo đảm: Thực tiễn và kiến nghị hoàn thiện pháp luật

Văn bản công chứng điện tử trong hoạt động cấp tín dụng có tài sản bảo đảm: Thực tiễn và kiến nghị hoàn thiện pháp luật

Bài viết phân tích khung pháp lý và thực tiễn áp dụng văn bản công chứng điện tử trong hoạt động cấp tín dụng có tài sản bảo đảm tại các tổ chức tín dụng, qua đó chỉ ra những vướng mắc trong quá trình triển khai và đề xuất một số kiến nghị hoàn thiện pháp luật nhằm thúc đẩy chuyển đổi số và nâng cao hiệu quả quản trị rủi ro tín dụng.
Việt Nam nỗ lực hướng tới quốc gia thương mại tự do

Việt Nam nỗ lực hướng tới quốc gia thương mại tự do

Việc định hình Việt Nam trở thành quốc gia thương mại tự do là định hướng chiến lược có thể tạo động lực mới cho hoàn thiện thể chế và tăng trưởng bền vững trong bối cảnh hội nhập sâu rộng. Tuy nhiên, lộ trình thực hiện cần thận trọng, đặc biệt trong tự do hóa tài chính - tiền tệ, nhằm bảo đảm tự chủ, an ninh và ổn định kinh tế vĩ mô trước các rủi ro từ biến động toàn cầu.
Công nghệ tài chính xanh và phát triển bền vững trong ngành Ngân hàng

Công nghệ tài chính xanh và phát triển bền vững trong ngành Ngân hàng

Bài viết làm rõ vai trò của công nghệ tài chính xanh, đặc biệt là trí tuệ nhân tạo (AI) và chuỗi khối (Blockchain) trong thúc đẩy phát triển bền vững và chuyển đổi số ngành Ngân hàng thông qua tăng cường minh bạch, quản trị rủi ro và hạn chế “tẩy xanh”. Trên cơ sở nhận diện các thách thức triển khai, nghiên cứu đề xuất một số hàm ý chính sách nhằm phát triển hệ sinh thái tài chính xanh hiệu quả và có trách nhiệm.
Hiệu quả của việc áp dụng tỉ lệ thanh khoản an toàn trong ngân hàng

Hiệu quả của việc áp dụng tỉ lệ thanh khoản an toàn trong ngân hàng

Ngân hàng Thanh toán quốc tế (BIS) đã công bố Báo cáo tháng 01/2026, tập trung đánh giá các quy định về tỉ lệ thanh khoản an toàn (LCR) sau 10 năm triển khai và áp dụng.
Hoàn thiện pháp luật về quản lý viện trợ không hoàn lại ở Việt Nam trong bối cảnh cải cách thủ tục hành chính

Hoàn thiện pháp luật về quản lý viện trợ không hoàn lại ở Việt Nam trong bối cảnh cải cách thủ tục hành chính

Bài viết phân tích và đánh giá khuôn khổ pháp luật hiện hành về quản lý viện trợ không hoàn lại trong bối cảnh cải cách thủ tục hành chính, qua đó chỉ ra những bất cập còn tồn tại và đề xuất định hướng hoàn thiện nhằm nâng cao hiệu lực, hiệu quả quản lý và sử dụng nguồn lực viện trợ tại Việt Nam.
Hoàn thiện khung pháp lý về thị trường carbon tại Việt Nam: Góc nhìn từ định chế tài chính và quản trị rủi ro ngân hàng

Hoàn thiện khung pháp lý về thị trường carbon tại Việt Nam: Góc nhìn từ định chế tài chính và quản trị rủi ro ngân hàng

Bài viết phân tích những khoảng trống pháp lý trong quá trình hình thành thị trường carbon tại Việt Nam, trên cơ sở so sánh kinh nghiệm từ Liên minh châu Âu (EU) và Trung Quốc, qua đó đề xuất hoàn thiện khung khổ pháp lý nhằm bảo đảm sự vận hành ổn định, minh bạch của thị trường và hạn chế rủi ro đối với lĩnh vực tài chính - ngân hàng.
Xem thêm
Hoàn thiện khung pháp lý về điều kiện, tiêu chuẩn nhân sự của ngân hàng tại Việt Nam

Hoàn thiện khung pháp lý về điều kiện, tiêu chuẩn nhân sự của ngân hàng tại Việt Nam

Trong bài viết này, các quy định về tiêu chuẩn, điều kiện đối với nhân sự của ngân hàng được phân tích theo Thông tư số 20/2025/TT-NHNN ngày 31/7/2025 của Thống đốc Ngân hàng Nhà nước Việt Nam (NHNN) hướng dẫn về hồ sơ, thủ tục chấp thuận danh sách dự kiến nhân sự của ngân hàng thương mại (NHTM), chi nhánh ngân hàng nước ngoài và tổ chức tín dụng (TCTD) phi ngân hàng, qua đó nhóm tác giả gợi mở định hướng hoàn thiện khung pháp lý theo chuẩn mực quốc tế và nâng cao chất lượng quản trị tại Việt Nam.
Danh mục xanh quốc gia và phát triển tín dụng xanh tại Việt Nam: Vai trò đối với hệ thống ngân hàng và hàm ý chính sách

Danh mục xanh quốc gia và phát triển tín dụng xanh tại Việt Nam: Vai trò đối với hệ thống ngân hàng và hàm ý chính sách

Bài viết phân tích vai trò của Danh mục xanh quốc gia trong việc thúc đẩy phát triển tín dụng xanh tại Việt Nam, làm rõ những chuyển biến trong khung chính sách và thực tiễn triển khai trong hệ thống ngân hàng, đồng thời đề xuất các giải pháp nhằm nâng cao hiệu quả áp dụng, góp phần định hướng dòng vốn phục vụ mục tiêu tăng trưởng xanh và phát triển bền vững.
Quản lý trạng thái vàng của tổ chức tín dụng theo Thông tư số 82/2025/TT-NHNN và một số vấn đề đặt ra trong thực tiễn

Quản lý trạng thái vàng của tổ chức tín dụng theo Thông tư số 82/2025/TT-NHNN và một số vấn đề đặt ra trong thực tiễn

Bài viết phân tích toàn diện cơ chế xác định, giới hạn và giám sát trạng thái vàng của các tổ chức tín dụng (TCTD) theo Thông tư số 82/2025/TT-NHNN ngày 31/12/2025 của Thống đốc Ngân hàng Nhà nước Việt Nam (NHNN) quy định về trạng thái vàng của các TCTD, qua đó làm rõ ý nghĩa quản lý rủi ro và những vấn đề đặt ra trong quá trình thực thi.
Pháp luật về thu nhập từ thừa kế trong thuế thu nhập cá nhân: Kinh nghiệm quốc tế và bài học cho Việt Nam

Pháp luật về thu nhập từ thừa kế trong thuế thu nhập cá nhân: Kinh nghiệm quốc tế và bài học cho Việt Nam

Tại Việt Nam, thuế thừa kế không tồn tại như một loại thuế riêng biệt và độc lập trong hệ thống pháp luật về thuế. Thay vào đó, thuế thu nhập cá nhân được áp dụng với một số tài sản thừa kế nhất định khi chúng đáp ứng các điều kiện do pháp luật quy định. Trong đó, người nộp thuế là cá nhân nhận tài sản thừa kế sẽ phải chịu thuế thu nhập cá nhân nếu tài sản thừa kế đó đáp ứng đủ điều kiện chịu thuế.
Cú sốc giá dầu và phản ứng của ngân hàng trung ương: Tổng quan lý thuyết, bằng chứng lịch sử và hàm ý chính sách

Cú sốc giá dầu và phản ứng của ngân hàng trung ương: Tổng quan lý thuyết, bằng chứng lịch sử và hàm ý chính sách

Bài viết phân tích một cách hệ thống mối quan hệ giữa cú sốc giá dầu và phản ứng chính sách của ngân hàng trung ương (NHTW), qua đó nhấn mạnh vai trò của việc nhận diện đúng nguồn gốc cú sốc và tăng cường phối hợp chính sách nhằm nâng cao hiệu quả điều hành chính sách tiền tệ trong bối cảnh biến động năng lượng toàn cầu.
Cú sốc giá dầu và phản ứng của ngân hàng trung ương: Tổng quan lý thuyết, bằng chứng lịch sử và hàm ý chính sách

Cú sốc giá dầu và phản ứng của ngân hàng trung ương: Tổng quan lý thuyết, bằng chứng lịch sử và hàm ý chính sách

Bài viết phân tích một cách hệ thống mối quan hệ giữa cú sốc giá dầu và phản ứng chính sách của ngân hàng trung ương (NHTW), qua đó nhấn mạnh vai trò của việc nhận diện đúng nguồn gốc cú sốc và tăng cường phối hợp chính sách nhằm nâng cao hiệu quả điều hành chính sách tiền tệ trong bối cảnh biến động năng lượng toàn cầu.
Từ hệ thống thanh toán truyền thống đến tài sản kỹ thuật số: Cách tiếp cận từ Đạo luật về Hiện đại hóa hệ thống thanh toán năm 2025 của Úc

Từ hệ thống thanh toán truyền thống đến tài sản kỹ thuật số: Cách tiếp cận từ Đạo luật về Hiện đại hóa hệ thống thanh toán năm 2025 của Úc

Bài viết phân tích sự chuyển dịch tư duy lập pháp của Úc trong điều chỉnh hệ thống thanh toán số và tài sản kỹ thuật số thông qua Luật sửa đổi Luật Ngân khố về Payments System Modernisation Act 2025 (Đạo luật về Hiện đại hóa hệ thống thanh toán năm 2025) của Úc, làm rõ cách tiếp cận quản lý dựa trên chức năng và rủi ro, cơ chế phối hợp giám sát liên cơ quan và những hàm ý chính sách cho quá trình hoàn thiện pháp luật tại Việt Nam.
Vai trò của các yếu tố phi ngôn ngữ trong hoạt động truyền thông của Cục Dự trữ Liên bang Mỹ và hàm ý đối với thị trường tài chính toàn cầu

Vai trò của các yếu tố phi ngôn ngữ trong hoạt động truyền thông của Cục Dự trữ Liên bang Mỹ và hàm ý đối với thị trường tài chính toàn cầu

Bài viết phân tích bằng chứng thực nghiệm mới về vai trò của các yếu tố phi ngôn ngữ trong truyền thông chính sách tiền tệ của Cục Dự trữ Liên bang Mỹ (Fed), qua đó thảo luận các hàm ý sâu sắc đối với công tác hoạch định và truyền tải chính sách tiền tệ trong bối cảnh toàn cầu hóa và sự bùng nổ của công nghệ thông tin.
Tăng cường quản trị rủi ro trong chính sách tiền tệ tại Ngân hàng Trung ương Canada và một số bài học kinh nghiệm đối với Việt Nam

Tăng cường quản trị rủi ro trong chính sách tiền tệ tại Ngân hàng Trung ương Canada và một số bài học kinh nghiệm đối với Việt Nam

Bài viết phân tích cách tiếp cận quản trị rủi ro trong hoạch định và truyền thông chính sách tiền tệ (CSTT) của Ngân hàng Trung ương Canada (Bank of Canada - BoC), qua đó rút ra một số bài học kinh nghiệm có giá trị tham khảo đối với Việt Nam trong bối cảnh bất định kinh tế ngày càng gia tăng.
Nâng hạng có điều kiện trong tiến trình hội nhập tài chính quốc tế của Việt Nam

Nâng hạng có điều kiện trong tiến trình hội nhập tài chính quốc tế của Việt Nam

Việc nâng hạng tín nhiệm có điều kiện của Việt Nam cho thấy cách tiếp cận mới của thị trường quốc tế trong đánh giá rủi ro tín dụng, cho phép các công cụ nợ có bảo đảm được xếp hạng cao hơn trần tín nhiệm quốc gia. Động thái này phát đi tín hiệu tích cực tới nhà đầu tư và mở rộng dư địa huy động vốn trong giai đoạn chuyển tiếp trước khi Việt Nam đạt hạng tín nhiệm chủ quyền hạng đầu tư.

Thông tư số 61/2025/TT-NHNN của Ngân hàng Nhà nước Việt Nam quy định về mạng lưới hoạt động của ngân hàng thương mại

Thông tư số 85/2025/TT-NHNN ngày 31/12/2025 sửa đổi, bổ sung một số thông tư của Thống đốc NHNN quy định về nghiệp vụ thư tín dụng và hướng dẫn triển khai một số chương trình tín dụng thay đổi cơ cấu, tổ chức bộ máy

Thông tư số 84/2025/TT-NHNN ngày 31/12/2025 quy định chế độ báo cáo tài chính đối với Ngân hàng Nhà nước Việt Nam

Thông tư số 81/2025/TT-NHNN ngày 31/12/2025 quy định về hoạt động chiết khấu của TCTD, chi nhánh NHNNg đối với khách hàng

Thông tư số 80/2025/TT-NHNN ngày 31/12/2025 sửa đổi, bổ sung một số điều của Thông tư số 12/2022/TT-NHNN hướng dẫn về quản lý ngoại hối đối với việc vay, trả nợ nước ngoài của doanh nghiệp

Thông tư số 79/2025/TT-NHNN ngày 31/12/2025 hướng dẫn về quản lý ngoại hối đối với việc cho vay ra nước ngoài và thu hồi nợ nước ngoài của TCTD, Chi nhánh Ngân hàng nước ngoài

Thông tư số 77/2025/TT-NHNN ngày 31/12/2025 sửa đổi, bổ sung một số điều của Thông tư số 50/2024/TT-NHNN quy định về an toàn, bảo mật cho việc cung cấp dịch vụ trực tuyến ngành Ngân hàng

Thông tư số 76/2025/TT-NHNN ngày 31/12/2025 sửa đổi, bổ sung một số điều của Thông tư số 24/2019/TT-NHNN quy định về tái cấp vốn dưới hình thức cho vay lại theo hồ sơ tín dụng đối với tổ chức tín dụng

Thông tư số 75/2025/TT-NHNN ngày 31/12/2025 sửa đổi, bổ sung một số quy định tại các VBQPPL trong lĩnh vực quản lý hoạt động cung ứng dịch vụ và sử dụng ngoại hối để thực thi phương án cắt giảm, đơn giản hoá thủ tục hành chính

Thông tư số 67/2025/TT-NHNN ngày 31/12/2026 bãi bỏ một số văn bản quy phạm pháp luật do Thống đốc Ngân hàng Nhà nước ban hành